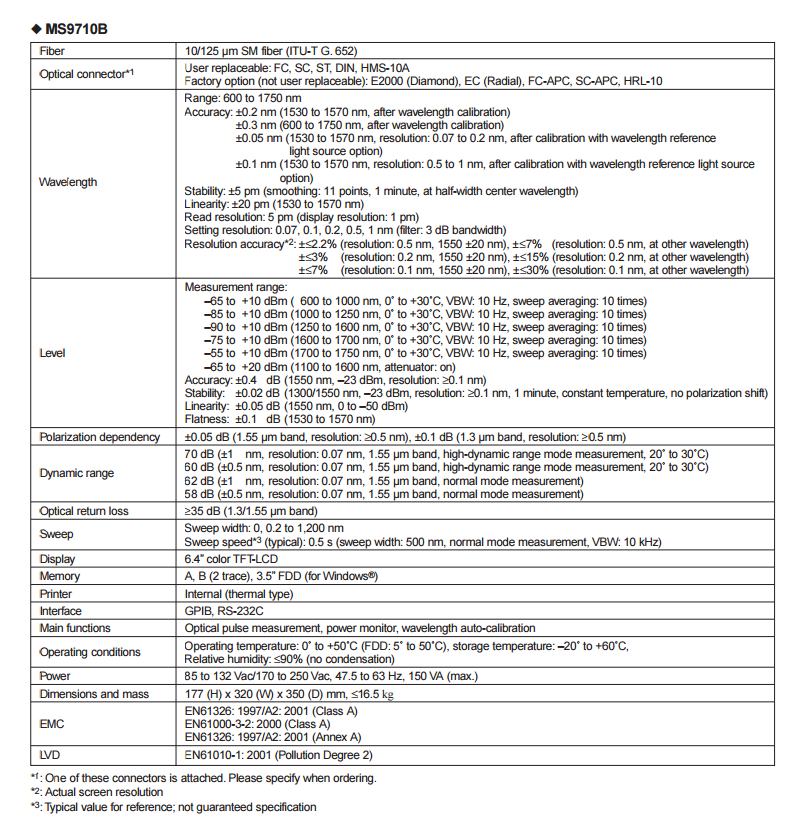
MS9710B光谱分析仪是一种衍生光栅型光谱分析仪,用于分析 600 至 1750 nm波段范围内的光谱。具有自动测量、峰值自动搜索、谱宽计算、标记到标记间光谱测量、SMSR的分析、曲线拟合、OBPF的测试、包络分析、n-dB衰耗、谱功率、WDM波长电平信噪比、光放大器增益、噪声系数、无源器件测试和各种光源分析等。


- 宽的波长范围:600-1750nm,覆盖单模、多模所有波段
- 高的波长精度和重复性,测试准确, 1530-1570nm波段的波长精度可达到+/-50pm
- 70dB的动态范围距离峰值波长1nm的动态范围为70dB
- 高灵敏度:-90dBm
- 支持DWDM信道的波长、功率和信噪比的测试











